De n-term voor het VWO examen wiskunde B was gemiddeld 1,37. Wiskunde B: percentage onvoldoendes per jaar Het percentage onvoldoendes bij wiskunde B was 23% in 2023.. De gemiddelde N-term bij wiskunde B12 was 0,90 in 2009. Heel even geduld alsjeblieft: je apparaat laadt de grafieken van Allecijfers.nl… Vwo-leerlingen volgen Wiskunde A, B of C. Bij Wiskunde A ligt de nadruk op statistiek en kansrekening en het gebruiken van differentiaalrekening. Bij Wiskunde B ligt de nadruk op analyse en meetkunde en bij Wiskunde C op statistiek en toegepaste analyse.. 3.1.5 Gemiddelde eindcijfers geslaagden vwo naar profiel, 2016/’17* Profiel.
vwo Wiskunde B Hoofdstuk 6 opgave 51b YouTube
VWO wiskunde B 2012
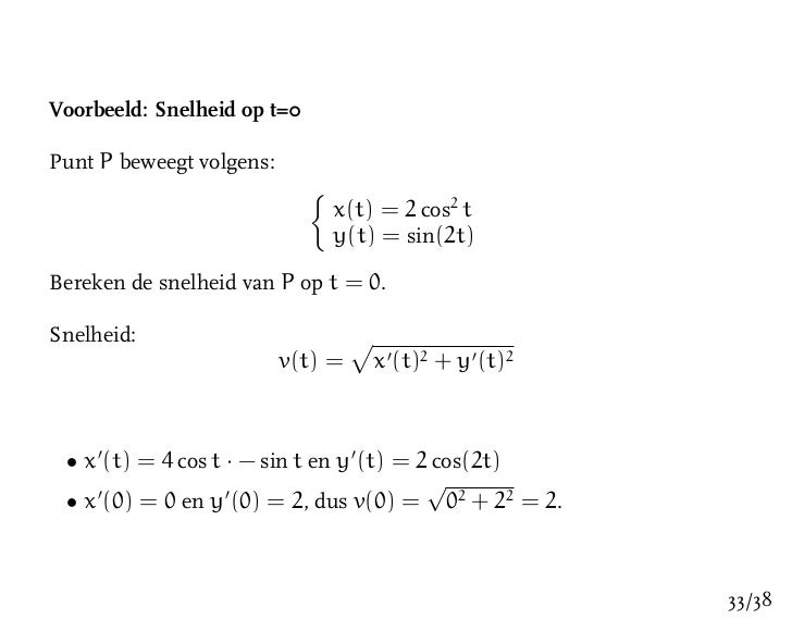
Bewegingsvergelijkingen (VWO wiskunde B) YouTube
Vwo wiskunde B Vergelijkingen met een parameter YouTube
FormulekaartVWOB Formulekaart VWO wiskunde B Vergelijkingen ax 2 + bx+c= 0 a b D x 2 −
VWO Wiskunde B 2016 Tijdvak 1 Opgave 1 Kettinglijn YouTube
Extreme waarden (VWO wiskunde B) YouTube
Vwo wiskunde B Rekenregels voor machten YouTube
Online Examentraining Wiskunde B VWO OnlineSlagen.nl
Proefwerk VWO6 WiskundeB Hoofdstuk 3
Vwo WiskundeB Examenbundel 2E Fase 9789006072150 P. Thiel Boeken
Tweedegraadsvergelijkingen met parameter oplossen WiskundeB VWO. YouTube
Examen wiskunde B vwo 2016II Docsity
Vwo wiskunde B 20191 Goniometrische formules opdracht 10 een moeilijke opgave uitgelegd
H03 oefentoets Oefentoets vwo B deel 1 Hoofdstuk 3 Meetkunde OPGAVE 1 1p a Vul in. Omgekeerde
VWO wiskunde B 2012
Opgaven Wis B VWO Hoofdstuk 9 Exponentiele en Logaritmische Functies Getal en Ruimte Wiskunde
De afstand tussen twee punten (HAVO wiskunde B & VWO wiskunde B) YouTube
De hoek tussen twee lijnen (HAVO wiskunde B & VWO wiskunde B) YouTube
Getalenruimtevwobdeel3uitwerkingen311nbsped9789001842499 compress Wiskunde B
Quick Scan vwo wiskunde B 2021 PDF, 65.77 kB (opent in nieuw venster) Examenstof. Examenprogramma wiskunde B vwo PDF, 303.57 kB (opent in nieuw venster) Syllabus 2021 wiskunde B vwo PDF, 1.43 MB (opent in nieuw venster) Vakspecifieke informatie. Deze informatie maakt deel uit van de Septembermededeling van het College voor Toetsen en Examens.. N-termen (cijfer vs. score) De N-term of normeringsterm is een variabele die in Nederland gebruikt wordt bij het berekenen van het cijfer bij centrale eindexamens in het voortgezet onderwijs.De commissie die zich bezighoudt met de centrale examens, die tegenwoordig College voor Toetsen en Examens (CvTE) heet, ontwikkelde in 1998 een methode voor de normering waarin deze N-term van belang is.



